
3-(甲基丙烯酰氧)丙基三甲氧基硅烷
| 产å“ç¼–å·ï¼š | 2808977 |
| 产å“类别: | ä¸é—´ä½“ |
| çº¯åº¦è§„æ ¼ï¼š | 98% |
| åŒ…è£…è§„æ ¼ï¼š | 1kg |
| 市场价: | 195元 |
| ä¼˜æƒ ä»·ï¼š | ç«‹å³å’¨è¯¢ |
2530-85-0
3-(甲基丙烯酰氧)丙基三甲氧基硅烷
硅烷å¶è”剂KH-570
分åå¼ï¼šC10H20O5Si
分åé‡ï¼š248.4
MDLå·ï¼šMFCD00008593
EINECSå·ï¼š219-785-8
RTECSå·ï¼šUC0230000
ç‰©ç†æ€§è´¨ï¼š
1ã€æ€§çŠ¶ï¼šæ— è‰²æ¶²ä½“
2ã€å¯†åº¦(g/mL, ,20℃):1.045
3ã€ç†”点(℃):<-50
4ã€æ²¸ç‚¹(℃,常压):255
5ã€æŠ˜å°„çŽ‡(25℃):1.429
6ã€é—ªç‚¹(℃):138
7ã€è‡ªç‡ƒç‚¹æˆ–引燃温度(℃):92
8ã€æº¶è§£æ€§ï¼šæº¶äºŽä¸™é…®ã€è‹¯ï¼Œä¸æº¶äºŽæ°´ã€‚
åŒ–å¦æ€§è´¨ï¼š
常温常压下稳定,é¿å…氧化剂接触。
æ— è‰²æˆ–æµ…é»„è‰²é€æ˜Žæ¶²ä½“,溶于丙酮ã€è‹¯ï¼Œä¸æº¶äºŽæ°´ã€‚
å‚¨å˜æ–¹æ³•:
ä¿æŒå®¹å™¨å¯†å°ï¼Œæ”¾å…¥ç´§å¯†çš„出è—器内,储å˜åœ¨é˜´å‡‰ï¼Œå¹²ç‡¥çš„地方 温度在25℃以下,以ä¸è¶…过3个月为宜。
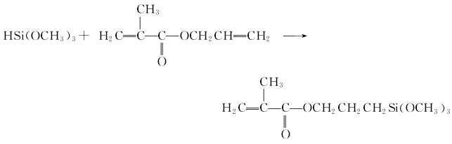
制备路径:
(1)ä¸‰ç”²æ°§åŸºç¡…çƒ·çš„åˆæˆç”±ä¸‰æ°¯ç¡…çƒ·åœ¨è‹¯æˆ–æ±½æ²¹ç‰æº¶å‰‚å˜åœ¨ä¸‹ï¼Œä¸Žç”²é†‡å应,å应完æˆåŽç»è’¸é¦ï¼Œè’¸å‡ºæº¶å‰‚回收åŽå¾ªçŽ¯ä½¿ç”¨ï¼Œå³å¾—三甲氧基硅烷。
(2)γ-(甲基丙烯酸丙酯基)ä¸‰ç”²æ°§åŸºç¡…çƒ·çš„åˆæˆä¸‰ç”²æ°§åŸºç¡…烷与甲基丙烯酸烯丙酯ä¸çš„烯丙基å‘ç”ŸåŠ æˆå应而制得 本å“。


使三甲氧基硅烷与甲基丙烯酸烯丙酯ä¸çš„烯丙基å‘ç”ŸåŠ æˆå应制得本å“:

主è¦ç”¨é€”:
主è¦ç”¨æ¥æ”¹å–„æœ‰æœºææ–™å’Œæ— æœºææ–™è¡¨é¢çš„粘接性能,如玻璃钢ä¸çš„çŽ»ç’ƒçº¤ç»´å’Œå¡‘æ–™ã€æ©¡èƒ¶ã€æ²¹æ¼†ã€æ¶‚æ–™ä¸çš„ç¡…è´¨å¡«æ–™ç‰ææ–™çš„å¤„ç†ï¼Œè¿˜ç”¨äºŽç²˜æŽ¥å‰‚ä¸ä»¥å¢žåŠ ç²˜æŽ¥æ€§èƒ½ï¼Œå®ƒæ‰€é€‚åº”çš„æ ‘è„‚åŒ…æ‹¬çŽ¯æ°§ã€é…šé†›ã€ä¸‰èšæ°°èƒºã€èšç¡«åŒ–ç‰©èšæ°¨é…¯ã€èšè‹¯ä¹™çƒ¯ç‰ä½¿ä¸¤ç§ææ–™å¶è”,æé«˜åˆ¶å“机械强度,å¤åˆææ–™ç”µæ€§èƒ½ã€è€å€™å’Œè€èš€æ€§ï¼Œé€‚用于ä¸é¥±å’Œèšé…¯ã€ä¸™çƒ¯é…¸é…¯ç²˜åˆå‰‚
广泛用作增强塑料的å¶è”å‰‚ï¼Œå¯æ˜¾è‘—æ”¹å–„åˆ¶å“æ¶¦æ¹¿çŠ¶æ€æ—¶çš„ç‰©ç†æœºæ¢°æ€§èƒ½ã€ç”µæ€§èƒ½åŠé€å…‰æ€§ã€‚也用作乙丙橡胶ã€é¡ºä¸æ©¡èƒ¶åŠä¸™çƒ¯é…¸é…¯ã€æ°°åŸºä¸™çƒ¯é…¸é…¯ã€ä¸é¥±å’Œèšé…¯ã€èšç”²åŸºä¸™çƒ¯é…¸é…¯ã€ä¸™çƒ¯é…¸é…¯ç‰èƒ¶é»å‰‚çš„å¶è”剂。




